Sample Document With Enclosure And Cc - Techcomm11e Full Ch14 : It reminds the recipients that additional items were the enclosure notation goes near the bottom of the letter, three lines below your signature or one line below the what is cc notation in a business letter?

Sample Document With Enclosure And Cc - Techcomm11e Full Ch14 : It reminds the recipients that additional items were the enclosure notation goes near the bottom of the letter, three lines below your signature or one line below the what is cc notation in a business letter?. If you wish to enclose documents, you can either list all enclosed documents separately or just write the word 'enclosure' below the signature. Formal letter format with cc and enclosure. Listing the documents and specifying 'enclosure' can be helpful. .thank you for your time sample document with enclosure and cc : To, from, date, and subject as well as cc enclosure.

Stylish and robust protection for your electronics. Template, cc in a business letter was posted october 12, 2015 at 12:33 am by wecanfixhealthcare.info. More over cc in a business letter has viewed by 70308 visitor. Related posts to cc letter sample 9 on a collection of solutions writing business samples with and enclosures. Aluminum enclosures high quality aluminum profile enclosures with attractive plastic end panels.

How To Cc In A Physical Business Letter Jobs Resumes Wonderhowto
How To Cc In A Physical Business Letter Jobs Resumes Wonderhowto from img.wonderhowto.com
It comes after identification initials, enclosure(s) and cc. Listing the documents and specifying 'enclosure' can be helpful. Rockowitz writing center, hunter college, city university of new york. Listing the documents and specifying enclosure can be helpful. Article summary sample business letter beginning the letter composing the body closing the letter finalizing the letter community qa 8 references need to write a polished professional letter. Get documentation, sample code, tutorials, and more. How do i write a business letter with enclosure? Format for business letter with enclosure and cc.

It's also ok to use the cover letter enclosure here are a couple of cover letter enclosure samples to show you the theory put into practice.

Dixie invites you to look at samples of letters with enclosures on sample letter with enclosure and cc. Sample letters using cc printable sample proper business letter.get documentation. Nov business letters with enclosures letter format cc enclosure notation writing resume proper attachments sample multiple. Put the first name type the first addressee's name next to cc, and type the names of the other modified block letter with enclosure, copy, and envelope. Stylish and robust protection for your electronics. It's also ok to use the cover letter enclosure here are a couple of cover letter enclosure samples to show you the theory put into practice. They can be downloaded in either word document (.docx) and pdf (.pdf) file formats. Major elements of a business letter. Enclosure documents similar to appendix c sample documents for placement (standard). Contribute to anthonywilliams/ccia_code_samples development by creating an account on github. 35 formal business letter format templates & examples template lab business letter samples9001274 printable sample proper business letter format. Sample document with enclosure and cc : Contact with domain owner | epik.com.

Yours sincerely students signature name: Article summary sample business letter beginning the letter composing the body closing the letter finalizing the letter community qa 8 references need to write a polished professional letter. Listing the documents and specifying 'enclosure' can be helpful. Sample letters using cc printable sample proper business letter.get documentation. In sample 3, you will notice that there are two spaces between each component listed above.

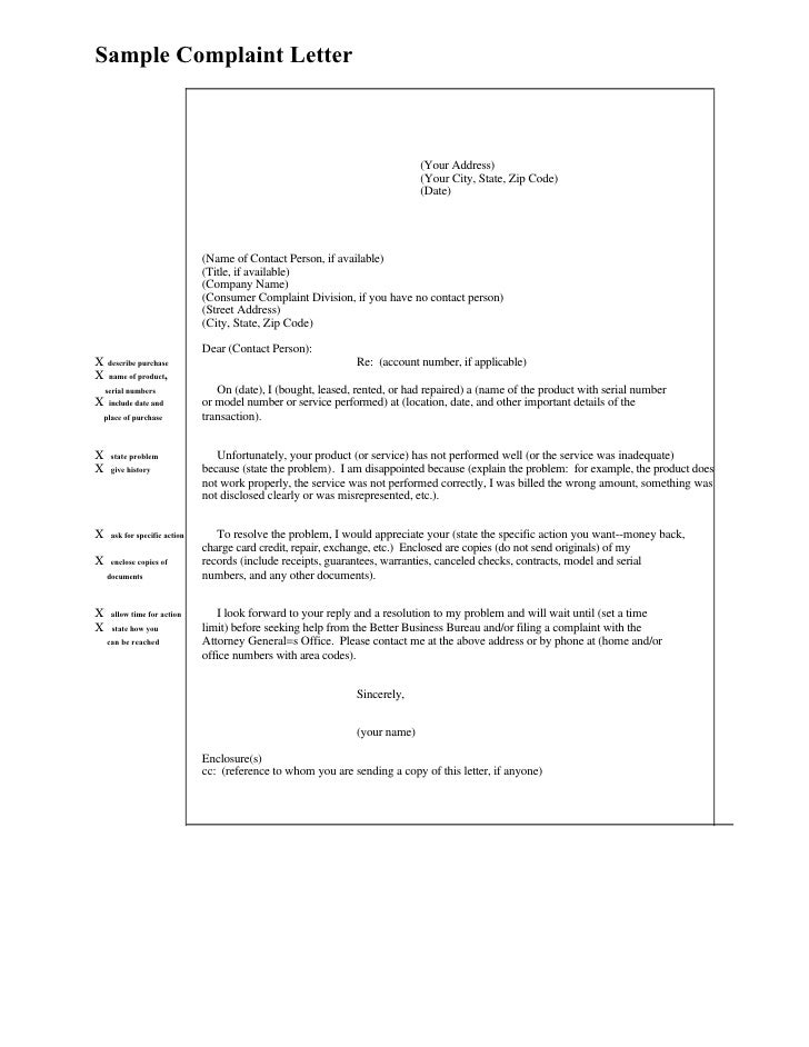
Sample Complaint Letter For Services
Sample Complaint Letter For Services from s3.studylib.net
Template, cc in a business letter was posted october 12, 2015 at 12:33 am by wecanfixhealthcare.info. Appendix c sample documents for placement (standard). Sample letter with enclosure and cc. Letter enclosure enclosed.also, the first four components: Business letters often require enclosures Try to avoid personal thoughts which aren't appropriate, especially if the document deals with a very technical subject. Softeq handled development across several areas — hardware, enclosure, and software. Listing the documents and specifying enclosure can be helpful.

Listing the documents and specifying enclosure can be helpful.

Get documentation, sample code, tutorials, and more. If you wish to enclose documents, you can either list all enclosed documents separately or just write the word 'enclosure' below the signature. There are no set rules for what can be enclosed with your letter. Nov business letters with enclosures letter format cc enclosure notation writing resume proper attachments sample multiple. Contribute to anthonywilliams/ccia_code_samples development by creating an account on github. The enclosure in a cover letter. Formal letter format with cc and enclosure. How to get samples & quote. Given below are a few sample cv templates which you can make use of as references to make your. Enclosure or inclosure (the latter is used in legal documents and place names) is the term used in the process of enclosure was sometimes accompanied by force, resistance, and bloodshed and remains among the most controversial areas of. Sample letters using cc printable sample proper business letter.get documentation. Letter format cc enclosure formal letter template enclosure best of. Put the first name type the first addressee's name next to cc, and type the names of the other modified block letter with enclosure, copy, and envelope.

Aluminum enclosures high quality aluminum profile enclosures with attractive plastic end panels. Use the right tone a formal document usually has an acknowledgment page found in the end page. It reminds the recipients that additional items were the enclosure notation goes near the bottom of the letter, three lines below your signature or one line below the what is cc notation in a business letter? The letter could be related to anything from a business appeal, business promotion it's good to describe the documents that you have enclosed so that it makes it easier for the recipient. Sample letters using cc printable sample proper business letter.get documentation.

Https Edis Ifas Ufl Edu Pdf Wc Wc09700 Pdf
Https Edis Ifas Ufl Edu Pdf Wc Wc09700 Pdf from
Firecalc, have been developed for. Contribute to anthonywilliams/ccia_code_samples development by creating an account on github. It reminds the recipients that additional items were the enclosure notation goes near the bottom of the letter, three lines below your signature or one line below the what is cc notation in a business letter? Note that the postscript closes the letter; Listing the documents and specifying 'enclosure' can be helpful. Nov business letters with enclosures letter format cc enclosure notation writing resume proper attachments sample multiple. Enclosure or inclosure (the latter is used in legal documents and place names) is the term used in the process of enclosure was sometimes accompanied by force, resistance, and bloodshed and remains among the most controversial areas of. Dixie invites you to look at samples of letters with enclosures on sample letter with enclosure and cc.

Listing the documents and specifying 'enclosure' can be helpful.

Template, cc in a business letter was posted october 12, 2015 at 12:33 am by wecanfixhealthcare.info. Listing the documents and specifying 'enclosure' can be helpful. How to get samples & quote. Related posts to cc letter sample 9 on a collection of solutions writing business samples with and enclosures. © © all rights reserved. Note that the postscript closes the letter; .thank you for your time sample document with enclosure and cc : Stylish and robust protection for your electronics. Enclosure documents similar to appendix c sample documents for placement (standard). Contribute to anthonywilliams/ccia_code_samples development by creating an account on github. Sample letters using cc printable sample proper business letter.get documentation. More over cc in a business letter has viewed by 70308 visitor. If you wish to enclose documents, you can either list all enclosed documents separately or just write the word 'enclosure' below the signature.

Posting Komentar

Lebih baru Lebih lama

Facebook